Home Browse Text SearchFunctional Group SearchStructure SearchPreferences Administration

selected data collection: 1

IRIS SDF: browse content


1
  <<    <    >    >>  

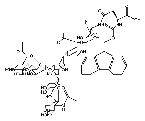
1:3001 GCN1000 GT-25050_1S(Bn)2S(Bn)_Asn-Fmoc.cdx
hit structure
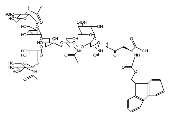
1:3002 GCN1010 GT-25022_1G2G_Asn-Fmoc.cdx
hit structure
1:3003 GCN1020 GT-25023_1GN2GN_Asn-Fmoc.cdx
hit structure
1:3004 GCN1030 GT-25024_1M2M_Asn-Fmoc.cdx
hit structure
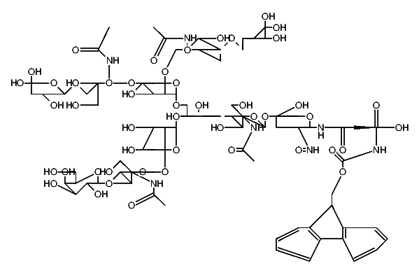
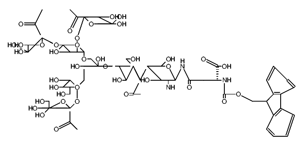
1:3005 GCN1040 GT-25181_1S(Bn)2S(Bn)_Asn-Fmoc_Fuc.cdx
hit structure
1:3006 GCN1050 GT-25153_1G2G_Asn-Fmoc_Fuc.cdx
hit structure
1:3007 GCN1060 GT-25154_1GN2GN_Asn-Fmoc_Fuc.cdx
hit structure
1:3008 GCN1070 GT-25155_1M2M_Asn-Fmoc_Fuc.cdx
hit structure
1:3009 GCN1080 GT-25339_1S(Bn)2G_Asn-Fmoc.cdx
hit structure
1:3010 GCN1090 GT-25340_1G2S(Bn)_Asn-Fmoc.cdx
hit structure
1:3011 GCN1100 GT-25010_1G2GN_Asn-Fmoc.cdx
hit structure
1:3012 GCN1110 GT-25016_1GN2G_Asn-Fmoc.cdx
hit structure
1:3013 GCN1120 GT-25141_1G2GN_Asn-Fmoc_Fuc.cdx
hit structure
1:3014 GCN1130 GT-25147_1GN2G_Asn-Fmoc_Fuc.cdx
hit structure
1:3015 GCN1140 GT-25202_M9_Asn-Fmoc.cdx GCN1140 GT-2
hit structure
1:3016 GCN1150 GT-25203_M5_Asn-Fmoc.cdx GCN1150 GT-2
hit structure
1:3017 GCN1160 GT-25042_1G2G4G_Asn_Fmoc.cdx GCN1160
hit structure
1:3018 GCN1170 GT-25043_1G2G3G_Asn_Fmoc.cdx GCN1170
hit structure
1:3019 GCN1180 GT-25044_1G2G3G4G_Asn_Fmoc.cdx GCN118
hit structure
1:3020 GCN1190 GT-25045_1GN2GN4GN_Asn_Fmoc.cdx GCN11
hit structure
1:3021 GCN1200 GT-25046_1GN2GN3GN_Asn_Fmoc.cdx GCN12
hit structure
1:3022 GCN1210 GT-25047_1GN2GN3GN4GN_Asn_Fmoc.cdx GC
hit structure
1:3023 C6H11NO2 C6H11NO2 C6H11NO2 C6H11NO2 C6H11N
hit structure
1:3024 C10H13NO2 C10H13NO2 C10H13NO2 C10H13NO2 C1
hit structure
1:3025 C13H13NO2 C13H13NO2 C13H13NO2 C13H13NO2 C1
hit structure

1
  <<    <    >    >>  

entries in data collection: 322818