Home Browse Text SearchFunctional Group SearchStructure SearchPreferences Administration

selected data collection: 1

IRIS SDF: browse content


1
  <<    <    >    >>  

1:299141 C26H25NO5
hit structure
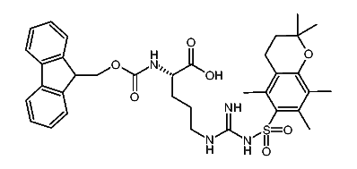
1:299142 C35H42N4O7S
hit structure
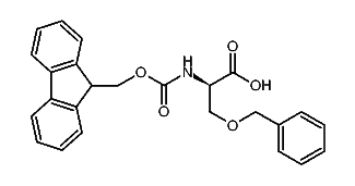
1:299143 C22H21NO6
hit structure
1:299144 C22H21NO6
hit structure
1:299145 C23H25NO6
hit structure
1:299146 C24H27NO4
hit structure
1:299147 C21H23N3O5
hit structure
1:299148 C23H25NO4
hit structure
1:299149 C22H23NO4
hit structure
1:299150 C18H17NO4S
hit structure
1:299151 C23H24N2O6
hit structure
1:299152 C24H28N2O6
hit structure
1:299153 C29H32N2O6
hit structure
1:299154 C22H22N2O6
hit structure
1:299155 C23H26N2O6
hit structure
1:299156 C29H35NO8
hit structure
1:299157 C20H20N2O5
hit structure
1:299158 C23H23NO6
hit structure
1:299159 C23H23NO6
hit structure
1:299160 C20H19NO6
hit structure
1:299161 C24H27NO6
hit structure
1:299162 C26H27N3O6
hit structure
1:299163 C25H23NO5
hit structure
1:299164 C24H23N3O4
hit structure
1:299165 C32H42N4O8
hit structure

1
  <<    <    >    >>  

entries in data collection: 403330