Home Browse Text SearchFunctional Group SearchStructure SearchPreferences Administration

selected data collection: 1

IRIS SDF: browse content


1
  <<    <    >    >>  

1:299016 C40H49N4O8P
hit structure
1:299017 C50H58N7O9P
hit structure
1:299018 C47H60N7O10P
hit structure
1:299019 C50H60N5O10P
hit structure
1:299020 C42H52N5O9P
hit structure
1:299021 C43H55N4O10P
hit structure
1:299022 C10H14N2O6
hit structure
1:299023 C24H46O4
hit structure
1:299024 C33H61NO7
hit structure
1:299025 C49H86N4O15
hit structure
1:299026 C45H83N3O13
hit structure
1:299027 C44H46N2O8
hit structure
1:299028 C23H25NO4
hit structure
1:299029 C22H23NO4
hit structure
1:299030 C23H25NO4
hit structure
1:299031 C22H23NO4
hit structure
1:299032 C34H36BNO6
hit structure
1:299033 C20H19NO4
hit structure
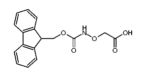
1:299034 C19H17NO4
hit structure
1:299035 C20H19NO4
hit structure
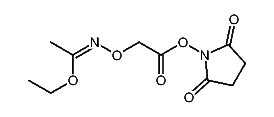
1:299036 C17H15NO5
hit structure
1:299037 C22H23NO4
hit structure
1:299038 C22H23NO4
hit structure
1:299039 C22H23NO4
hit structure
1:299040 C22H23NO4
hit structure

1
  <<    <    >    >>  

entries in data collection: 408362