Home Browse Text SearchFunctional Group SearchStructure SearchPreferences Administration

selected data collection: 1

IRIS SDF: browse content


1
  <<    <    >    >>  

1:295709 C14H26N2O4
hit structure
1:295710 C16H30N2O4
hit structure
1:295711 C14H22N2O4
hit structure
1:295712 C14H22N2O4
hit structure
1:295713 C18H30N2O4
hit structure
1:295714 C7H13NO2
hit structure
1:295715 C6H13NO2
hit structure
1:295716 C7H15NO2
hit structure
1:295717 C8H17NO2
hit structure
1:295718 C9H19NO2
hit structure
1:295719 C7H15NO2
hit structure
1:295720 C6H13NO2
hit structure
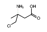
1:295721 C5H10ClNO2
hit structure
1:295722 C9H17NO2
hit structure
1:295723 C10H19NO2
hit structure
1:295724 C7H15NO2
hit structure
1:295725 C7H13NO2
hit structure
1:295726 C7H13NO3
hit structure
1:295727 C5H9NO2
hit structure
1:295728 C6H11NO2
hit structure
1:295729 C16H26N2O4
hit structure
1:295730 C16H22N2O4
hit structure
1:295731 C18H34N2O4
hit structure
1:295732 C18H30N2O4
hit structure
1:295733 C8H15NO2
hit structure

1
  <<    <    >    >>  

entries in data collection: 337914