Home Browse Text SearchFunctional Group SearchStructure SearchPreferences Administration

selected data collection: 1

IRIS SDF: browse content


1
  <<    <    >    >>  

1:295359 C82H14O2
hit structure
1:295360 C69H6O12
hit structure
1:295361 C79H6O12
hit structure
1:295362 C70H70O70
hit structure
1:295363 C46H56N4O4
hit structure
1:295364 C21H24N2O2
hit structure
1:295365 C19H22N2O2
hit structure
1:295366 C18H20N2O2
hit structure
1:295367 C20H24N2O2
hit structure
1:295368 C25H34N2O4
hit structure
1:295369 C21H26N2O4
hit structure
1:295370 C17H18N2O2
hit structure
1:295371 C21H26N2O2
hit structure
1:295372 C19H20N2O2
hit structure
1:295373 C25H34N2O5
hit structure
1:295374 C17H16N4O2
hit structure
1:295375 C18H18N4O2
hit structure
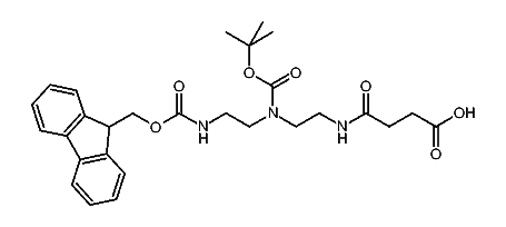
1:295376 C28H35N3O7
hit structure
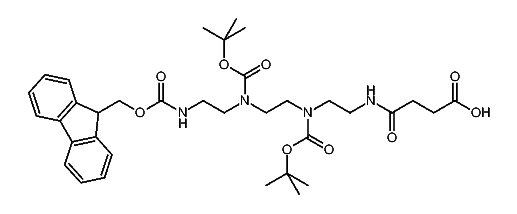
1:295377 C35H48N4O9
hit structure
1:295378 C42H61N5O12
hit structure
1:295379 C33H37N3O13
hit structure
1:295380 C32H36N2O13
hit structure
1:295381 C56H65N3O24
hit structure
1:295382 C33H38N2O13
hit structure
1:295383 C44H52N2O21
hit structure

1
  <<    <    >    >>  

entries in data collection: 347978