Home Browse Text SearchFunctional Group SearchStructure SearchPreferences Administration

selected data collection: 1

IRIS SDF: browse content


1
  <<    <    >    >>  

1:293734 C9H17NO4
hit structure
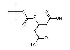
1:293735 C10H18N2O5
hit structure
1:293736 C12H23NO4
hit structure
1:293737 C12H23NO4
hit structure
1:293738 C11H21NO4S
hit structure
1:293739 C18H32N2O8Se2
hit structure
1:293740 C27H34N2O6
hit structure
1:293741 C14H16N2O6
hit structure
1:293742 C14H17NO4
hit structure
1:293743 C27H40N4O7S
hit structure
1:293744 C27H43N7O7S
hit structure
1:293745 C8H17NO3
hit structure
1:293746 C8H17NO3
hit structure
1:293747 C16H24N2O5
hit structure
1:293748 C10H21NO3
hit structure
1:293749 C8H17NO3
hit structure
1:293750 C16H24N2O5
hit structure
1:293751 C14H21NO3
hit structure
1:293752 C10H19NO3
hit structure
1:293753 C5H11NO3
hit structure
1:293754 C11H21NO3
hit structure
1:293755 C10H21NO3
hit structure
1:293756 C7H15NO3
hit structure
1:293757 C8H17NO3
hit structure
1:293758 C10H21NO3S
hit structure

1
  <<    <    >    >>  

entries in data collection: 413394