Home Browse Text SearchFunctional Group SearchStructure SearchPreferences Administration

selected data collection: 1

IRIS SDF: browse content


1
  <<    <    >    >>  

1:293134 C16H21NO6
hit structure
1:293135 C21H23NO5
hit structure
1:293136 C14H25NO4
hit structure
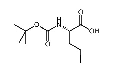
1:293137 C13H23NO4
hit structure
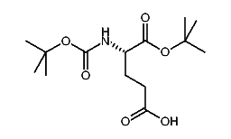
1:293138 C14H25NO6
hit structure
1:293139 C18H23N3O4
hit structure
1:293140 C15H21NO5
hit structure
1:293141 C17H23NO5
hit structure
1:293142 C14H17NO4
hit structure
1:293143 C26H32N2O6
hit structure
1:293144 C22H34N2O6
hit structure
1:293145 C10H19NO5S
hit structure
1:293146 C11H21NO4
hit structure
1:293147 C10H19NO4
hit structure
1:293148 C18H25ClN2O6
hit structure
1:293149 C14H18ClNO4
hit structure
1:293150 C14H18FNO4
hit structure
1:293151 C14H17Cl2NO4
hit structure
1:293152 C14H17F2NO4
hit structure
1:293153 C14H18ClNO4
hit structure
1:293154 C14H18INO4
hit structure
1:293155 C14H18BrNO4
hit structure
1:293156 C14H18ClNO4
hit structure
1:293157 C15H21NO4
hit structure
1:293158 C14H20N2O4
hit structure

1
  <<    <    >    >>  

entries in data collection: 418426