Home Browse Text SearchFunctional Group SearchStructure SearchPreferences Administration

selected data collection: 1

IRIS SDF: browse content


1
  <<    <    >    >>  

1:292684 C12H21NO5
hit structure
1:292685 C15H16N2O4
hit structure
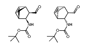
1:292686 C17H23NO5
hit structure
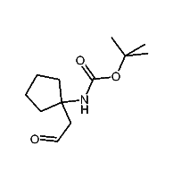
1:292687 C9H15NO4
hit structure
1:292688 C22H22N2O6
hit structure
1:292689 C5H8N6O3
hit structure
1:292690 C23H24N2O6
hit structure
1:292691 C20H24N2O6
hit structure
1:292692 C10H18N2O4
hit structure
1:292693 C25H32N2O4
hit structure
1:292694 C13H17NO4
hit structure
1:292695 C24H24N2O6
hit structure
1:292696 C22H38N2O6
hit structure
1:292697 C26H42N2O6
hit structure
1:292698 C26H38N2O6
hit structure
1:292699 C28H46N2O6
hit structure
1:292700 C13H23NO3
hit structure
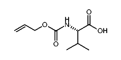
1:292701 C12H21NO3
hit structure
1:292702 C22H34N2O6
hit structure
1:292703 C12H21NO3
hit structure
1:292704 C13H23NO3
hit structure
1:292705 C24H42N2O6
hit structure
1:292706 C26H46N2O6
hit structure
1:292707 C24H38N2O6
hit structure
1:292708 C24H38N2O6
hit structure

1
  <<    <    >    >>  

entries in data collection: 433522