Home Browse Text SearchFunctional Group SearchStructure SearchPreferences Administration

selected data collection: 1

IRIS SDF: browse content


1
  <<    <    >    >>  

1:292277 C30H35NO5
hit structure
1:292278 C35H44N2O7
hit structure
1:292279 C29H33NO5S
hit structure
1:292280 C30H35NO5
hit structure
1:292281 C34H42N2O7
hit structure
1:292282 C33H33NO5
hit structure
1:292283 C29H31NO5
hit structure
1:292284 C31H37NO6
hit structure
1:292285 C32H39NO6
hit structure
1:292286 C37H41NO6
hit structure
1:292287 C29H33NO5
hit structure
1:292288 C40H42N2O7
hit structure
1:292289 C89H91N7O14
hit structure
1:292290 C96H98N8O15
hit structure
1:292291 C25H50N4O6
hit structure
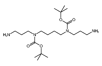
1:292292 C20H42N4O4
hit structure
1:292293 C39H56N4O9
hit structure
1:292294 C10H24N6
hit structure
1:292295 C31H58N4O10
hit structure
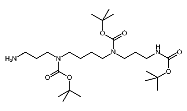
1:292296 C20H42N4O4
hit structure
1:292297 C10H22N8
hit structure
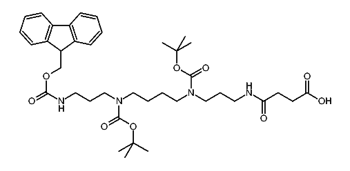
1:292298 C29H54N4O9
hit structure
1:292299 C25H48N6O6
hit structure
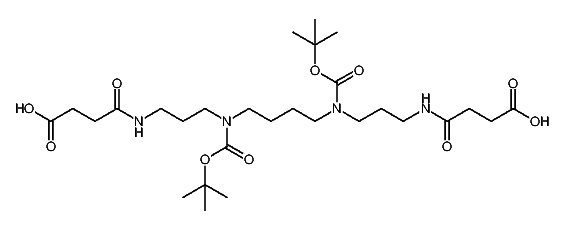
1:292300 C28H50N4O10
hit structure
1:292301 CH2Cl2
hit structure

1
  <<    <    >    >>  

entries in data collection: 297658