Home Browse Text SearchFunctional Group SearchStructure SearchPreferences Administration

selected data collection: 1

IRIS SDF: browse content


1
  <<    <    >    >>  

1:292177 C44H54N4O8S
hit structure
1:292178 C47H44N2O6
hit structure
1:292179 C32H37NO7
hit structure
1:292180 C46H43NO5S
hit structure
1:292181 C30H34N2O6S
hit structure
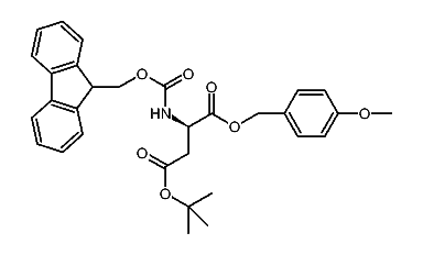
1:292182 C31H37NO5S
hit structure
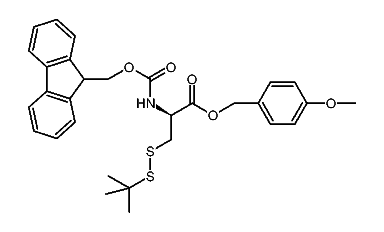
1:292183 C31H37NO5S2
hit structure
1:292184 C48H46N2O6
hit structure
1:292185 C33H39NO7
hit structure
1:292186 C49H45N3O5
hit structure
1:292187 C30H35NO5
hit structure
1:292188 C30H35NO5
hit structure
1:292189 C35H44N2O7
hit structure
1:292190 C29H33NO5S
hit structure
1:292191 C30H35NO5
hit structure
1:292192 C34H42N2O7
hit structure
1:292193 C33H33NO5
hit structure
1:292194 C29H31NO5
hit structure
1:292195 C31H37NO6
hit structure
1:292196 C32H39NO6
hit structure
1:292197 C37H41NO6
hit structure
1:292198 C29H33NO5
hit structure
1:292199 C40H42N2O7
hit structure
1:292200 C29H30N2O7
hit structure
1:292201 C45H53N5O10S
hit structure

1
  <<    <    >    >>  

entries in data collection: 297658