Home Browse Text SearchFunctional Group SearchStructure SearchPreferences Administration

selected data collection: 1

IRIS SDF: browse content


1
  <<    <    >    >>  

1:288216 C14H28N2O4
hit structure
1:288217 C11H17NO4S
hit structure
1:288218 C10H15NO5
hit structure
1:288219 C11H17NO5
hit structure
1:288220 C17H21NO5
hit structure
1:288221 C14H19NO4
hit structure
1:288222 C14H19NO4
hit structure
1:288223 C14H19NO4
hit structure
1:288224 C22H34N2O8
hit structure
1:288225 C12H21NO4
hit structure
1:288226 C13H23NO4
hit structure
1:288227 C14H25NO4
hit structure
1:288228 C15H27NO4
hit structure
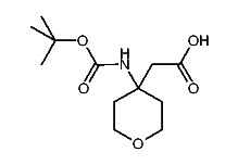
1:288229 C12H21NO5
hit structure
1:288230 C10H17NO4
hit structure
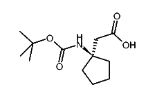
1:288231 C11H19NO4
hit structure
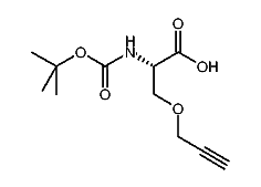
1:288232 C12H21NO4
hit structure
1:288233 C22H38N2O8
hit structure
1:288234 C26H42N2O8
hit structure
1:288235 C26H38N2O8
hit structure
1:288236 C28H50N2O8
hit structure
1:288237 C28H46N2O8
hit structure
1:288238 C24H42N2O8
hit structure
1:288239 C26H46N2O8
hit structure
1:288240 C26H46N2O8
hit structure

1
  <<    <    >    >>  

entries in data collection: 398298