Home Browse Text SearchFunctional Group SearchStructure SearchPreferences Administration

selected data collection: 1

IRIS SDF: browse content


1
  <<    <    >    >>  

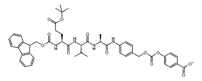
1:287766 C49H57N7O13
hit structure
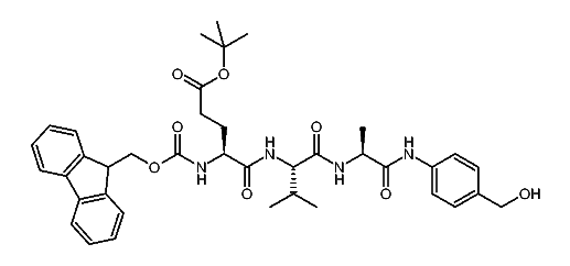
1:287767 C39H48N4O8
hit structure
1:287768 C46H51N5O12
hit structure
1:287769 C12H14N2O
hit structure
1:287770 C9H18N2O2
hit structure
1:287771 C15H14N2O2
hit structure
1:287772 C11H26N2O4
hit structure
1:287773 C14H24N2O4
hit structure
1:287774 C11H26N2O4
hit structure
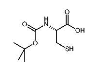
1:287775 C8H15NO4S
hit structure
1:287776 C27H29NO4S
hit structure
1:287777 C13H22N2O6
hit structure
1:287778 C24H28N2O6
hit structure
1:287779 C9H18N2O4
hit structure
1:287780 C23H26N2O6
hit structure
1:287781 C23H26N2O6
hit structure
1:287782 C10H18N2O5
hit structure
1:287783 C13H21NO6
hit structure
1:287784 C17H23NO6
hit structure
1:287785 C15H32N2O5
hit structure
1:287786 C13H26N2O2
hit structure
1:287787 C9H20N2O2
hit structure
1:287788 C10H22N2O2
hit structure
1:287789 C13H26N2O2
hit structure
1:287790 C8H18N2O2
hit structure

1
  <<    <    >    >>  

entries in data collection: 393266