Home Browse Text SearchFunctional Group SearchStructure SearchPreferences Administration

selected data collection: 1

IRIS SDF: browse content


1
  <<    <    >    >>  

1:287245 C30H35NO5
hit structure
1:287246 C35H44N2O7
hit structure
1:287247 C29H33NO5S
hit structure
1:287248 C30H35NO5
hit structure
1:287249 C34H42N2O7
hit structure
1:287250 C33H33NO5
hit structure
1:287251 C29H31NO5
hit structure
1:287252 C31H37NO6
hit structure
1:287253 C32H39NO6
hit structure
1:287254 C37H41NO6
hit structure
1:287255 C29H33NO5
hit structure
1:287256 C40H42N2O7
hit structure
1:287257 C89H91N7O14
hit structure
1:287258 C96H98N8O15
hit structure
1:287259 C25H50N4O6
hit structure
1:287260 C20H42N4O4
hit structure
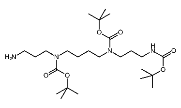
1:287261 C39H56N4O9
hit structure
1:287262 C10H24N6
hit structure
1:287263 C31H58N4O10
hit structure
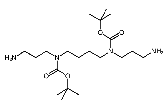
1:287264 C20H42N4O4
hit structure
1:287265 C10H22N8
hit structure
1:287266 C29H54N4O9
hit structure
1:287267 C25H48N6O6
hit structure
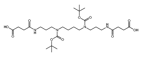
1:287268 C28H50N4O10
hit structure
1:287269 CH2Cl2
hit structure

1
  <<    <    >    >>  

entries in data collection: 292626