Home Browse Text SearchFunctional Group SearchStructure SearchPreferences Administration

selected data collection: 1

IRIS SDF: browse content


1
  <<    <    >    >>  

1:285683 C7H15NO2
hit structure
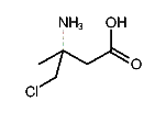
1:285684 C5H10ClNO2
hit structure
1:285685 C6H11NO2
hit structure
1:285686 C9H17NO2
hit structure
1:285687 C10H19NO2
hit structure
1:285688 C7H15NO2
hit structure
1:285689 C7H13NO2
hit structure
1:285690 C7H13NO3
hit structure
1:285691 C5H9NO2
hit structure
1:285692 C6H11NO2
hit structure
1:285693 C9H11NO2
hit structure
1:285694 C9H11NO2
hit structure
1:285695 C14H21N7O4
hit structure
1:285696 C26H28N4O2
hit structure
1:285697 C14H14N2O5
hit structure
1:285698 C10H16N4O4
hit structure
1:285699 C14H18N4O4
hit structure
1:285700 C9H14N4O4
hit structure
1:285701 C7H9NO3
hit structure
1:285702 C9H18N2O4
hit structure
1:285703 C9H14D4N2O4
hit structure
1:285704 C8H16N2O4
hit structure
1:285705 C8H12D4N2O4
hit structure
1:285706 C12H18N2O4
hit structure
1:285707 C12H14D4N2O4
hit structure

1
  <<    <    >    >>  

entries in data collection: 312754