Home Browse Text SearchFunctional Group SearchStructure SearchPreferences Administration

selected data collection: 1

IRIS SDF: browse content


1
  <<    <    >    >>  

1:282989 C10H18N2O3
hit structure
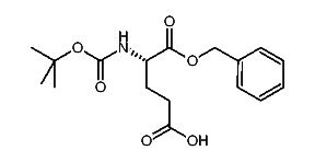
1:282990 C15H21NO5
hit structure
1:282991 C11H19NO4
hit structure
1:282992 C13H17NO4
hit structure
1:282993 C25H32N4O7
hit structure
1:282994 C18H21NO4
hit structure
1:282995 C17H20N2O5
hit structure
1:282996 C18H23N3O6S
hit structure
1:282997 C14H18ClNO4
hit structure
1:282998 C12H23NO4
hit structure
1:282999 C20H30N2O6
hit structure
1:283000 C17H25NO5
hit structure
1:283001 C11H21NO4
hit structure
1:283002 C8H15NO4
hit structure
1:283003 C21H36N4O6S
hit structure
1:283004 C14H18INO4
hit structure
1:283005 C17H23NO6
hit structure
1:283006 C14H18INO4
hit structure
1:283007 C11H21NO4
hit structure
1:283008 C15H21NO5
hit structure
1:283009 C21H34N2O6
hit structure
1:283010 C24H40N2O6
hit structure
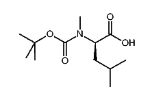
1:283011 C15H21NO4
hit structure
1:283012 C19H25N3O5
hit structure
1:283013 C15H21NO4
hit structure

1
  <<    <    >    >>  

entries in data collection: 307722