Home Browse Text SearchFunctional Group SearchStructure SearchPreferences Administration

selected data collection: 1

IRIS SDF: browse content


1
  <<    <    >    >>  

1:282213 C30H35NO5
hit structure
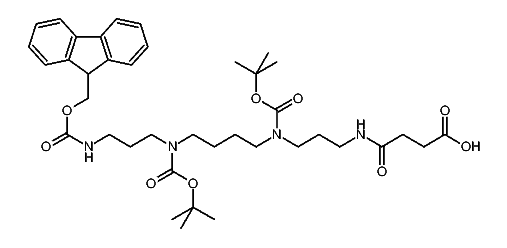
1:282214 C35H44N2O7
hit structure
1:282215 C29H33NO5S
hit structure
1:282216 C30H35NO5
hit structure
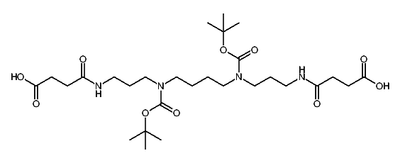
1:282217 C34H42N2O7
hit structure
1:282218 C33H33NO5
hit structure
1:282219 C29H31NO5
hit structure
1:282220 C31H37NO6
hit structure
1:282221 C32H39NO6
hit structure
1:282222 C37H41NO6
hit structure
1:282223 C29H33NO5
hit structure
1:282224 C40H42N2O7
hit structure
1:282225 C89H91N7O14
hit structure
1:282226 C96H98N8O15
hit structure
1:282227 C25H50N4O6
hit structure
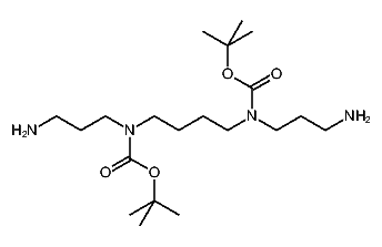
1:282228 C20H42N4O4
hit structure
1:282229 C39H56N4O9
hit structure
1:282230 C10H24N6
hit structure
1:282231 C31H58N4O10
hit structure
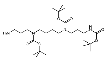
1:282232 C20H42N4O4
hit structure
1:282233 C10H22N8
hit structure
1:282234 C29H54N4O9
hit structure
1:282235 C25H48N6O6
hit structure
1:282236 C28H50N4O10
hit structure
1:282237 CH2Cl2
hit structure

1
  <<    <    >    >>  

entries in data collection: 287594