Home Browse Text SearchFunctional Group SearchStructure SearchPreferences Administration

selected data collection: 1

IRIS SDF: browse content


1
  <<    <    >    >>  

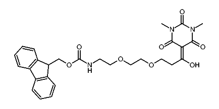
1:281838 C36H43N3O9
hit structure
1:281839 C16H31N3O2
hit structure
1:281840 C18H35N3O2
hit structure
1:281841 C29H33NO5
hit structure
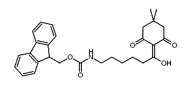
1:281842 C30H35NO7
hit structure
1:281843 C13H19N3O3
hit structure
1:281844 C11H15N5O4
hit structure
1:281845 C15H25N3O4S3
hit structure
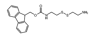
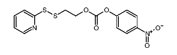
1:281846 C23H26N2O5S2
hit structure
1:281847 C10H18N4O3S2
hit structure
1:281848 C10H15NO3S2
hit structure
1:281849 C53H59N3O5S
hit structure
1:281850 C53H60N4O4S
hit structure
1:281851 C19H22N2O2S2
hit structure
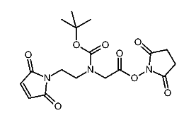
1:281852 C14H26N4O2S3
hit structure
1:281853 C9H12N2O4
hit structure
1:281854 C7H8N2O2
hit structure
1:281855 C17H21N3O8
hit structure
1:281856 C10H12N2O6
hit structure
1:281857 C15H21NO4
hit structure
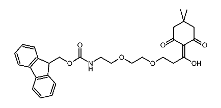
1:281858 C28H31N3O8
hit structure
1:281859 C12H18N4O4
hit structure
1:281860 C13H19N3O2S
hit structure
1:281861 C14H12N2O5S2
hit structure
1:281862 C9H19NO3S2
hit structure

1
  <<    <    >    >>  

entries in data collection: 292626