Home Browse Text SearchFunctional Group SearchStructure SearchPreferences Administration

selected data collection: 1

IRIS SDF: browse content


1
  <<    <    >    >>  

1:281043 C46H50N10O9
hit structure
1:281044 C55H65N7O12
hit structure
1:281045 C51H53N7O16
hit structure
1:281046 C48H63N13O10
hit structure
1:281047 C23H34N4O4S3
hit structure
1:281048 C14H20N4O4
hit structure
1:281049 C16H15N5
hit structure
1:281050 C27H38D6O2
hit structure
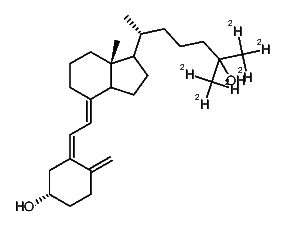
1:281051 C27H40D6O2
hit structure
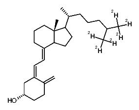
1:281052 C27H38D6O
hit structure
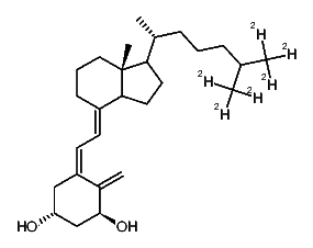
1:281053 C27H38D6O2
hit structure
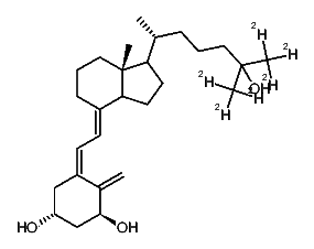
1:281054 C27H38D6O3
hit structure
1:281055 C27H41D3O
hit structure
1:281056 C27H38D6O
hit structure
1:281057 C27H40D6O
hit structure
1:281058 C28H38D6O2
hit structure
1:281059 C28H38D6O2
hit structure
1:281060 C28H38D6O3
hit structure
1:281061 C28H41D3O
hit structure
1:281062 C28H38D6O
hit structure
1:281063 C29H47D3O2
hit structure
1:281064 C29H44D6O2
hit structure
1:281065 C31H46D6O3
hit structure
1:281066 C29H41D9O2
hit structure
1:281067 C31H43D9O3
hit structure

1
  <<    <    >    >>  

entries in data collection: 292626