Home Browse Text SearchFunctional Group SearchStructure SearchPreferences Administration

selected data collection: 1

IRIS SDF: browse content


1
  <<    <    >    >>  

1:280618 C7H13NO2
hit structure
1:280619 C6H13NO2
hit structure
1:280620 C7H15NO2
hit structure
1:280621 C8H17NO2
hit structure
1:280622 C9H19NO2
hit structure
1:280623 C7H15NO2
hit structure
1:280624 C6H13NO2
hit structure
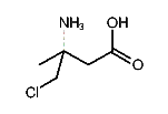
1:280625 C5H10ClNO2
hit structure
1:280626 C9H17NO2
hit structure
1:280627 C10H19NO2
hit structure
1:280628 C7H15NO2
hit structure
1:280629 C7H13NO2
hit structure
1:280630 C7H13NO3
hit structure
1:280631 C5H9NO2
hit structure
1:280632 C6H11NO2
hit structure
1:280633 C16H26N2O4
hit structure
1:280634 C16H22N2O4
hit structure
1:280635 C18H34N2O4
hit structure
1:280636 C18H30N2O4
hit structure
1:280637 C8H15NO2
hit structure
1:280638 C7H13NO2
hit structure
1:280639 C12H18N2O4
hit structure
1:280640 C14H26N2O4
hit structure
1:280641 C16H30N2O4
hit structure
1:280642 C7H13NO2
hit structure

1
  <<    <    >    >>  

entries in data collection: 287594