Home Browse Text SearchFunctional Group SearchStructure SearchPreferences Administration

selected data collection: 1

IRIS SDF: browse content


1
  <<    <    >    >>  

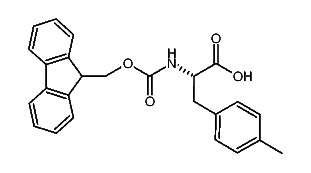
1:279270 C20H17NO4
hit structure
1:279271 C24H28N2O6
hit structure
1:279272 C34H30N2O6
hit structure
1:279273 C24H28N2O4
hit structure
1:279274 C34H30N2O6
hit structure
1:279275 C25H29N2O5*
hit structure
1:279276 C29H36N4O8
hit structure
1:279277 C37H44N4O9S
hit structure
1:279278 C20H20N2O5
hit structure
1:279279 C37H54N2O5
hit structure
1:279280 C20H20N2O5
hit structure
1:279281 C37H54N2O5
hit structure
1:279282 C36H52N2O5
hit structure
1:279283 C25H23NO4
hit structure
1:279284 C25H23NO5
hit structure
1:279285 C20H17NO5
hit structure
1:279286 C27H34N2O9
hit structure
1:279287 C27H25NO5
hit structure
1:279288 C21H24N2O4
hit structure
1:279289 C21H22N4O4
hit structure
1:279290 C18H16N4O4
hit structure
1:279291 C23H27NO5
hit structure
1:279292 C21H22N4O4
hit structure
1:279293 C19H17NO5
hit structure
1:279294 C24H20N4O4
hit structure

1
  <<    <    >    >>  

entries in data collection: 297658