Home Browse Text SearchFunctional Group SearchStructure SearchPreferences Administration

selected data collection: 1

IRIS SDF: browse content


1
  <<    <    >    >>  

1:278845 C19H22O4
hit structure
1:278846 C18H20O3
hit structure
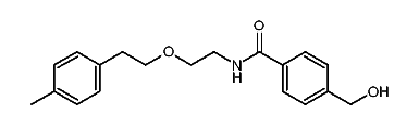
1:278847 C19H23NO3
hit structure
1:278848 C28H30N2O6
hit structure
1:278849 C21H34N2O6
hit structure
1:278850 C29H32N2O6
hit structure
1:278851 C28H30N2O6
hit structure
1:278852 C20H30N2O6
hit structure
1:278853 C21H34N2O6
hit structure
1:278854 C31H36N2O6
hit structure
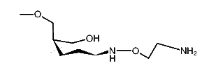
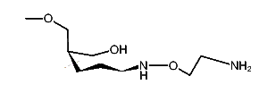
1:278855 C16H25NO6
hit structure
1:278856 C31H36N2O6
hit structure
1:278857 C31H36N2O6
hit structure
1:278858 C34H42N2O6
hit structure
1:278859 C15H23NO4S
hit structure
1:278860 C34H42N2O6
hit structure
1:278861 C32H38N2O6
hit structure
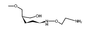
1:278862 C11H28N2O3
hit structure
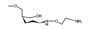
1:278863 C11H28N2O3
hit structure
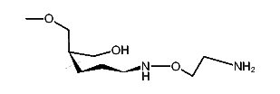
1:278864 C11H28N2O3
hit structure
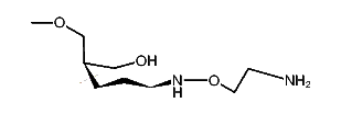
1:278865 C11H28N2O3
hit structure
1:278866 C11H28N2O3
hit structure
1:278867 C11H28N2O3
hit structure
1:278868 C11H25NO5
hit structure
1:278869 C11H25NO5
hit structure

1
  <<    <    >    >>  

entries in data collection: 302690