Home Browse Text SearchFunctional Group SearchStructure SearchPreferences Administration

selected data collection: 1

IRIS SDF: browse content


1
  <<    <    >    >>  

1:278571 C17H32N2O5
hit structure
1:278572 C9H15NO4Se
hit structure
1:278573 C11H20N2O5
hit structure
1:278574 C9H15KN4O4
hit structure
1:278575 C11H19KN4O4
hit structure
1:278576 C23H43N3O12
hit structure
1:278577 C15H29N5O7
hit structure
1:278578 C27H29NO4S
hit structure
1:278579 C12H21NO4
hit structure
1:278580 C12H21NO4
hit structure
1:278581 C17H25NO4S
hit structure
1:278582 C28H31NO4S
hit structure
1:278583 C28H31NO4S
hit structure
1:278584 C17H25N3O8S
hit structure
1:278585 C9H17NO5
hit structure
1:278586 C11H19NO5
hit structure
1:278587 C11H19NO5
hit structure
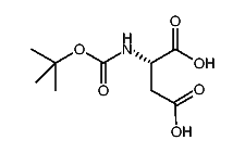
1:278588 C10H17NO5
hit structure
1:278589 C9H17NO5
hit structure
1:278590 C16H28N2O8S2
hit structure
1:278591 C15H21NO4S
hit structure
1:278592 C16H23NO4S
hit structure
1:278593 C15H19N3O7
hit structure
1:278594 C20H24N2O8
hit structure
1:278595 C9H15NO6
hit structure

1
  <<    <    >    >>  

entries in data collection: 297658