Home Browse Text SearchFunctional Group SearchStructure SearchPreferences Administration

selected data collection: 1

IRIS SDF: browse content


1
  <<    <    >    >>  

1:278296 C12H26N2O4Si
hit structure
1:278297 C10H12N2O4Se
hit structure
1:278298 C12H13N5O2
hit structure
1:278299 C11H14N2O4Se
hit structure
1:278300 C14H16N8O2
hit structure
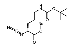
1:278301 C10H17N4NaO4
hit structure
1:278302 C12H13N5O2
hit structure
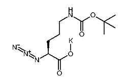
1:278303 C10H17KN4O4
hit structure
1:278304 C15H19N5O2
hit structure
1:278305 C14H17N5O2
hit structure
1:278306 C20H32N4O5S
hit structure
1:278307 C11H23N3O3
hit structure
1:278308 C10H19NO2
hit structure
1:278309 C22H26N2O4
hit structure
1:278310 C20H32N4O5S
hit structure
1:278311 C7H16N2O2
hit structure
1:278312 C6H12N2O3
hit structure
1:278313 C15H16N2O2
hit structure
1:278314 C9H18N2O3
hit structure
1:278315 C10H13NO2
hit structure
1:278316 C9H18N2O3
hit structure
1:278317 C13H14N2O
hit structure
1:278318 C11H13N3O3
hit structure
1:278319 C16H16N4O
hit structure
1:278320 C13H14N2O2
hit structure

1
  <<    <    >    >>  

entries in data collection: 292626