Home Browse Text SearchFunctional Group SearchStructure SearchPreferences Administration

selected data collection: 1

IRIS SDF: browse content


1
  <<    <    >    >>  

1:278096 C17H33NO4
hit structure
1:278097 C29H40N4O7S
hit structure
1:278098 C20H23N3O4
hit structure
1:278099 C14H17Cl2NO5
hit structure
1:278100 C16H31NO4
hit structure
1:278101 C17H33NO4
hit structure
1:278102 C25H28N2O6
hit structure
1:278103 C9H16N4O4
hit structure
1:278104 C9H16N4O4
hit structure
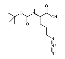
1:278105 C11H20N4O4
hit structure
1:278106 C11H20N4O4
hit structure
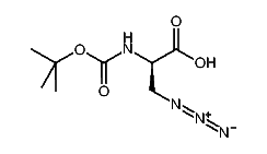
1:278107 C8H14N4O4
hit structure
1:278108 C8H14N4O4
hit structure
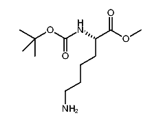
1:278109 C10H18N4O4
hit structure
1:278110 C10H18N4O4
hit structure
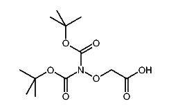
1:278111 C12H21NO7
hit structure
1:278112 C13H18N2O4
hit structure
1:278113 C14H18N4O4
hit structure
1:278114 C14H18N4O4
hit structure
1:278115 C13H17N3O6S2
hit structure
1:278116 C12H19N3O4
hit structure
1:278117 C12H19N3O4
hit structure
1:278118 C11H21NO4
hit structure
1:278119 C9H17NO5
hit structure
1:278120 C12H24N2O4
hit structure

1
  <<    <    >    >>  

entries in data collection: 287594