Home Browse Text SearchFunctional Group SearchStructure SearchPreferences Administration

selected data collection: 1

IRIS SDF: browse content


1
  <<    <    >    >>  

1:277872 C12H19NO6
hit structure
1:277873 C16H21NO6
hit structure
1:277874 C15H25NO6
hit structure
1:277875 C13H23NO6
hit structure
1:277876 C13H23NO6
hit structure
1:277877 C13H23NO6
hit structure
1:277878 C11H20N2O5S
hit structure
1:277879 C15H21NO4S
hit structure
1:277880 C16H23NO4S
hit structure
1:277881 C16H23NO5S
hit structure
1:277882 C12H23NO4S
hit structure
1:277883 C16H27NO6
hit structure
1:277884 C16H25N3O6
hit structure
1:277885 C11H17N3O4
hit structure
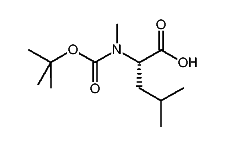
1:277886 C10H17NO5
hit structure
1:277887 C11H21NO4
hit structure
1:277888 C11H21NO4
hit structure
1:277889 C19H27ClN2O6
hit structure
1:277890 C15H26N2O6
hit structure
1:277891 C16H30N2O6
hit structure
1:277892 C19H28N2O6
hit structure
1:277893 C11H22N2O4
hit structure
1:277894 C9H17NO4
hit structure
1:277895 C12H23NO4
hit structure
1:277896 C12H23NO4
hit structure

1
  <<    <    >    >>  

entries in data collection: 287594