Home Browse Text SearchFunctional Group SearchStructure SearchPreferences Administration

selected data collection: 1

IRIS SDF: browse content


1
  <<    <    >    >>  

1:276719 C19H20N6O5
hit structure
1:276720 C18H18N6O5
hit structure
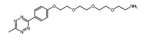
1:276721 C27H36N6O10
hit structure
1:276722 C35H35NO7S2
hit structure
1:276723 C17H29F6N5O3P2
hit structure
1:276724 C6H7N3O4
hit structure
1:276725 C11H10N4O2
hit structure
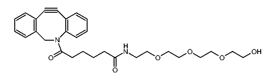
1:276726 C20H28N4O7
hit structure
1:276727 C15H13N5O4
hit structure
1:276728 C24H31N5O9
hit structure
1:276729 C24H30N6O7
hit structure
1:276730 C10H11N5
hit structure
1:276731 C17H25N5O4
hit structure
1:276732 C29H37N3O6
hit structure
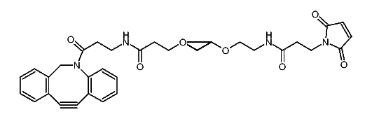
1:276733 C32H42N4O10S
hit structure
1:276734 C21H19NO3
hit structure
1:276735 C25H22N2O5
hit structure
1:276736 C32H40N2O9
hit structure
1:276737 C36H43N3O11
hit structure
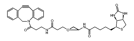
1:276738 C59H69N3O14S3
hit structure
1:276739 C25H21N3O4
hit structure
1:276740 C36H42N4O9
hit structure
1:276741 C29H36N2O6
hit structure
1:276742 C39H51N5O8S
hit structure
1:276743 C26H30N2O4
hit structure

1
  <<    <    >    >>  

entries in data collection: 287594