Home Browse Text SearchFunctional Group SearchStructure SearchPreferences Administration

selected data collection: 1

IRIS SDF: browse content


1
  <<    <    >    >>  

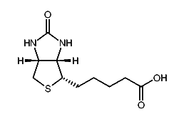
1:275994 C10H16N2O3S
hit structure
1:275995 C7H19N3
hit structure
1:275996 C51H70N10O15S2
hit structure
1:275997 C51H61F9N10O15S2
hit structure
1:275998 C55H72N12O11S3
hit structure
1:275999 C90H106N12O13S3
hit structure
1:276000 C31H42N6O8
hit structure
1:276001 C10H18N2O3
hit structure
1:276002 C18H27N3O3
hit structure
1:276003 C15H28N4O2S
hit structure
1:276004 C14H18N3NaO8S2
hit structure
1:276005 C13H24N4O2S
hit structure
1:276006 C17H11NO3
hit structure
1:276007 C9H15O6P
hit structure
1:276008 C24H36N4O6S
hit structure
1:276009 C18H25N3O3S
hit structure
1:276010 C16H28N4O4S
hit structure
1:276011 C46H50N10O9
hit structure
1:276012 C55H65N7O12
hit structure
1:276013 C51H53N7O16
hit structure
1:276014 C48H63N13O10
hit structure
1:276015 C23H34N4O4S3
hit structure
1:276016 C14H20N4O4
hit structure
1:276017 C16H15N5
hit structure
1:276018 C27H38D6O2
hit structure

1
  <<    <    >    >>  

entries in data collection: 302690