Home Browse Text SearchFunctional Group SearchStructure SearchPreferences Administration

selected data collection: 1

IRIS SDF: browse content


1
  <<    <    >    >>  

1:274922 C21H23NO5
hit structure
1:274923 C22H19F3N2O5
hit structure
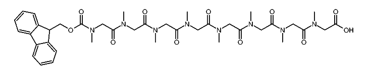
1:274924 C39H52N8O11
hit structure
1:274925 C22H19F3N2O5
hit structure
1:274926 C28H27NO6
hit structure
1:274927 C26H30N2O6
hit structure
1:274928 C28H27NO6
hit structure
1:274929 C26H30N2O6
hit structure
1:274930 C29H29NO6
hit structure
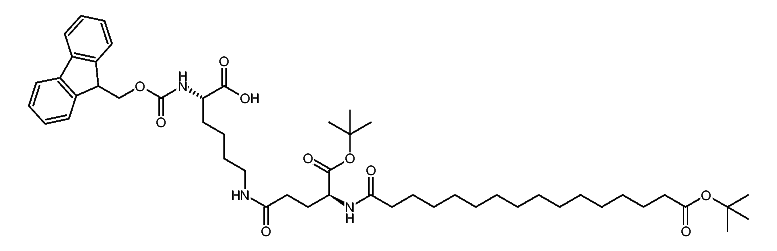
1:274931 C50H75N3O10
hit structure
1:274932 C29H29NO6
hit structure
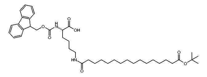
1:274933 C41H60N2O7
hit structure
1:274934 C27H30N2O5
hit structure
1:274935 C27H21N3O4
hit structure
1:274936 C27H21N3O4
hit structure
1:274937 C27H21N3O4
hit structure
1:274938 C30H34N2O10
hit structure
1:274939 C21H32O11
hit structure
1:274940 C30H48N8O10
hit structure
1:274941 C56H66F4N2O18
hit structure
1:274942 C27H35NO9
hit structure
1:274943 C34H35NO10S
hit structure
1:274944 C34H35NO10S
hit structure
1:274945 C40H43NO16S
hit structure
1:274946 C22H29NO9
hit structure

1
  <<    <    >    >>  

entries in data collection: 327850