Home Browse Text SearchFunctional Group SearchStructure SearchPreferences Administration

selected data collection: 1

IRIS SDF: browse content


1
  <<    <    >    >>  

1:272541 C6H11N3O2
hit structure
1:272542 C5H9N3O2
hit structure
1:272543 C25H26O2S
hit structure
1:272544 C23H24N2O6
hit structure
1:272545 C22H22N2O6
hit structure
1:272546 C24H26N2O6
hit structure
1:272547 C26H25NO4S
hit structure
1:272548 C13H21NO6
hit structure
1:272549 C23H34N4O7S
hit structure
1:272550 C12H19NO6
hit structure
1:272551 C28H28N2O5
hit structure
1:272552 C29H27N3O4
hit structure
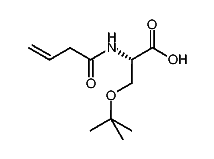
1:272553 C10H17NO4
hit structure
1:272554 C9H13NO4
hit structure
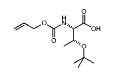
1:272555 C11H19NO4
hit structure
1:272556 C12H21NO5
hit structure
1:272557 C15H16N2O4
hit structure
1:272558 C17H23NO5
hit structure
1:272559 C9H15NO4
hit structure
1:272560 C22H22N2O6
hit structure
1:272561 C5H8N6O3
hit structure
1:272562 C23H24N2O6
hit structure
1:272563 C20H24N2O6
hit structure
1:272564 C10H18N2O4
hit structure
1:272565 C25H32N2O4
hit structure

1
  <<    <    >    >>  

entries in data collection: 332882