Home Browse Text SearchFunctional Group SearchStructure SearchPreferences Administration

selected data collection: 1

IRIS SDF: browse content


1
  <<    <    >    >>  

1:271124 C31H57NO7
hit structure
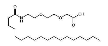
1:271125 C22H42O4
hit structure
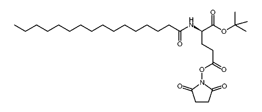
1:271126 C29H50N2O7
hit structure
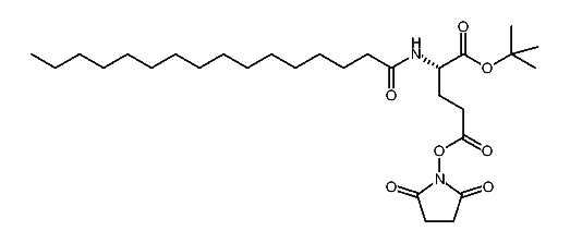
1:271127 C29H50N2O7
hit structure
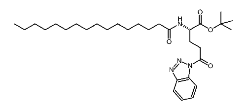
1:271128 C26H44N2O7
hit structure
1:271129 C10H15NO6
hit structure
1:271130 C17H23NO4
hit structure
1:271131 C17H29NO4
hit structure
1:271132 C17H24N2O4
hit structure
1:271133 C17H23NO5
hit structure
1:271134 C17H23NO4S
hit structure
1:271135 C18H25NO4
hit structure
1:271136 C27H25NO4
hit structure
1:271137 C27H31NO4
hit structure
1:271138 C31H50N4O4
hit structure
1:271139 C25H47NO5
hit structure
1:271140 C8H14N2O2S2
hit structure
1:271141 C36H44N4O9S2
hit structure
1:271142 C29H53NO7
hit structure
1:271143 C33H56N2O9
hit structure
1:271144 C20H38O4
hit structure
1:271145 C44H46N2O4S
hit structure
1:271146 C304H612ClN201O50
hit structure
1:271147 C24H47NO5
hit structure
1:271148 C12H24N2O7
hit structure

1
  <<    <    >    >>  

entries in data collection: 292626