Home Browse Text SearchFunctional Group SearchStructure SearchPreferences Administration

selected data collection: 1

IRIS SDF: browse content


1
  <<    <    >    >>  

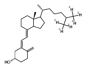
1:270991 C27H41D3O
hit structure
1:270992 C27H38D6O
hit structure
1:270993 C27H40D6O
hit structure
1:270994 C28H38D6O2
hit structure
1:270995 C28H38D6O2
hit structure
1:270996 C28H38D6O3
hit structure
1:270997 C28H41D3O
hit structure
1:270998 C28H38D6O
hit structure
1:270999 C29H47D3O2
hit structure
1:271000 C29H44D6O2
hit structure
1:271001 C31H46D6O3
hit structure
1:271002 C29H41D9O2
hit structure
1:271003 C31H43D9O3
hit structure
1:271004 C16H25ClN2O4
hit structure
1:271005 C15H27N5O5
hit structure
1:271006 C40H78N12O12S
hit structure
1:271007 C34H63N5O9
hit structure
1:271008 C34H55N5O9S3
hit structure
1:271009 C21H25N5O5
hit structure
1:271010 C13H20N2O2S2
hit structure
1:271011 C18H26N4O2S
hit structure
1:271012 C26H35N3O4S
hit structure
1:271013 C18H26N2O4S
hit structure
1:271014 C30H47N5O5S
hit structure
1:271015 C187H291N45O59
hit structure

1
  <<    <    >    >>  

entries in data collection: 297658