Home Browse Text SearchFunctional Group SearchStructure SearchPreferences Administration

selected data collection: 1

IRIS SDF: browse content


1
  <<    <    >    >>  

1:270541 C16H22N2O4
hit structure
1:270542 C18H34N2O4
hit structure
1:270543 C18H30N2O4
hit structure
1:270544 C8H15NO2
hit structure
1:270545 C7H13NO2
hit structure
1:270546 C12H18N2O4
hit structure
1:270547 C14H26N2O4
hit structure
1:270548 C8H15NO2
hit structure
1:270549 C14H26N2O4
hit structure
1:270550 C16H30N2O4
hit structure
1:270551 C14H22N2O4
hit structure
1:270552 C14H22N2O4
hit structure
1:270553 C18H30N2O4
hit structure
1:270554 C7H13NO2
hit structure
1:270555 C6H13NO2
hit structure
1:270556 C7H15NO2
hit structure
1:270557 C8H17NO2
hit structure
1:270558 C9H19NO2
hit structure
1:270559 C7H15NO2
hit structure
1:270560 C6H13NO2
hit structure
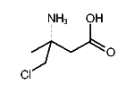
1:270561 C5H10ClNO2
hit structure
1:270562 C9H17NO2
hit structure
1:270563 C10H19NO2
hit structure
1:270564 C7H15NO2
hit structure
1:270565 C7H13NO2
hit structure

1
  <<    <    >    >>  

entries in data collection: 287594