Home Browse Text SearchFunctional Group SearchStructure SearchPreferences Administration

selected data collection: 1

IRIS SDF: browse content


1
  <<    <    >    >>  

1:267392 C20H21NO6
hit structure
1:267393 C22H24N2O8S2
hit structure
1:267394 C14H19N5O6
hit structure
1:267395 C12H14N2O5
hit structure
1:267396 C17H23NO4
hit structure
1:267397 C24H32N4O7S
hit structure
1:267398 C14H19N5O6
hit structure
1:267399 C19H19NO6
hit structure
1:267400 C20H24N2O8
hit structure
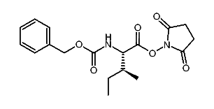
1:267401 C12H15NO4
hit structure
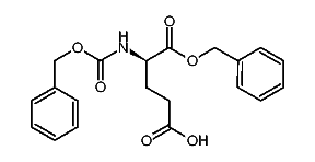
1:267402 C13H16N2O5
hit structure
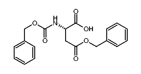
1:267403 C13H15NO6
hit structure
1:267404 C20H22N2O6
hit structure
1:267405 C18H22N2O6
hit structure
1:267406 C21H20N2O6
hit structure
1:267407 C16H15NO4
hit structure
1:267408 C13H13NO5
hit structure
1:267409 C11H13NO5
hit structure
1:267410 C17H17NO5
hit structure
1:267411 C14H17NO6
hit structure
1:267412 C21H26N2O8
hit structure
1:267413 C17H23NO6
hit structure
1:267414 C18H22N2O6
hit structure
1:267415 C20H22N2O6
hit structure
1:267416 C18H22N2O6
hit structure

1
  <<    <    >    >>  

entries in data collection: 272498