Home Browse Text SearchFunctional Group SearchStructure SearchPreferences Administration

selected data collection: 1

IRIS SDF: browse content


1
  <<    <    >    >>  

1:266767 C16H22N2O7S2
hit structure
1:266768 C19H21NO3S2
hit structure
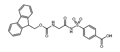
1:266769 C26H24N2O7S2
hit structure
1:266770 C19H14N2O5S2
hit structure
1:266771 C14H21NO3S2
hit structure
1:266772 C21H24N2O7S2
hit structure
1:266773 C24H23NO3S2
hit structure
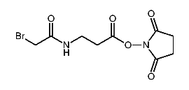
1:266774 C9H11BrN2O5
hit structure
1:266775 C8H14N2O2S
hit structure
1:266776 C24H20N2O7S
hit structure
1:266777 C16H32ClN3O5
hit structure
1:266778 C9H9N3O2
hit structure
1:266779 C10H19NO5
hit structure
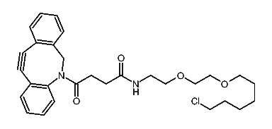
1:266780 C29H35ClN2O4
hit structure
1:266781 C10H22ClNO2
hit structure
1:266782 C14H30ClNO4
hit structure
1:266783 C10H20ClN3O2
hit structure
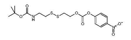
1:266784 C14H28ClN3O4
hit structure
1:266785 C16H26N2O2
hit structure
1:266786 C16H30N2O2
hit structure
1:266787 C18H34N2O2
hit structure
1:266788 C18H30N2O2
hit structure
1:266789 C29H31NO6
hit structure
1:266790 C30H29NO6
hit structure
1:266791 C28H29NO6
hit structure

1
  <<    <    >    >>  

entries in data collection: 282562