Home Browse Text SearchFunctional Group SearchStructure SearchPreferences Administration

selected data collection: 1

IRIS SDF: browse content


1
  <<    <    >    >>  

1:266192 C18H29NO11
hit structure
1:266193 C31H45N5O13
hit structure
1:266194 C37H45F4N5O13
hit structure
1:266195 C18H34N4O6S
hit structure
1:266196 C14H26N4O6
hit structure
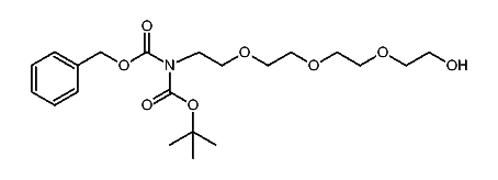
1:266197 C25H30N2O8
hit structure
1:266198 C25H44N4O8S
hit structure
1:266199 C10H18N4O5
hit structure
1:266200 C10H21N3O5
hit structure
1:266201 C10H22N4O4
hit structure
1:266202 C21H25NO5
hit structure
1:266203 C23H29NO6
hit structure
1:266204 C21H33NO8
hit structure
1:266205 C10H19N3O4
hit structure
1:266206 C8H15N3O5
hit structure
1:266207 C18H27NO9
hit structure
1:266208 C11H21NO4
hit structure
1:266209 C18H26N2O7
hit structure
1:266210 C12H25N3O6
hit structure
1:266211 C27H32O4S
hit structure
1:266212 C25H37N7O6S
hit structure
1:266213 C23H38N4O6S
hit structure
1:266214 C11H17NO5
hit structure
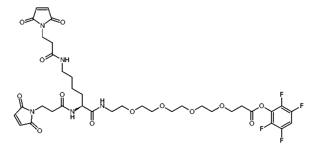
1:266215 C33H45N3O12
hit structure
1:266216 C13H28N2O5
hit structure

1
  <<    <    >    >>  

entries in data collection: 292626