Home Browse Text SearchFunctional Group SearchStructure SearchPreferences Administration

selected data collection: 1

IRIS SDF: browse content


1
  <<    <    >    >>  

1:265542 C7H13NO2
hit structure
1:265543 C12H18N2O4
hit structure
1:265544 C14H26N2O4
hit structure
1:265545 C16H30N2O4
hit structure
1:265546 C7H13NO2
hit structure
1:265547 C16H30N2O4
hit structure
1:265548 C14H22N2O4
hit structure
1:265549 C14H22N2O4
hit structure
1:265550 C18H30N2O4
hit structure
1:265551 C6H13NO2
hit structure
1:265552 C7H15NO2
hit structure
1:265553 C8H17NO2
hit structure
1:265554 C9H19NO2
hit structure
1:265555 C7H15NO2
hit structure
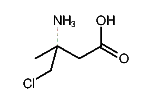
1:265556 C5H10ClNO2
hit structure
1:265557 C6H11NO2
hit structure
1:265558 C9H17NO2
hit structure
1:265559 C10H19NO2
hit structure
1:265560 C7H15NO2
hit structure
1:265561 C7H13NO2
hit structure
1:265562 C7H13NO3
hit structure
1:265563 C5H9NO2
hit structure
1:265564 C6H11NO2
hit structure
1:265565 C9H11NO2
hit structure
1:265566 C9H11NO2
hit structure

1
  <<    <    >    >>  

entries in data collection: 307722