Home Browse Text SearchFunctional Group SearchStructure SearchPreferences Administration

selected data collection: 1

IRIS SDF: browse content


1
  <<    <    >    >>  

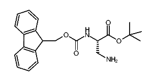
1:264192 C21H24N2O4
hit structure
1:264193 C21H22N4O4
hit structure
1:264194 C18H16N4O4
hit structure
1:264195 C23H27NO5
hit structure
1:264196 C21H22N4O4
hit structure
1:264197 C19H17NO5
hit structure
1:264198 C24H20N4O4
hit structure
1:264199 C24H20N4O4
hit structure
1:264200 C18H17NO7S
hit structure
1:264201 C25H29NO6
hit structure
1:264202 C26H23N3O7
hit structure
1:264203 C33H28N2O6
hit structure
1:264204 C22H21N3O4
hit structure
1:264205 C22H21N3O4
hit structure
1:264206 C25H23NO4
hit structure
1:264207 C27H22N2O5
hit structure
1:264208 C24H27NO6
hit structure
1:264209 C23H25NO6
hit structure
1:264210 C26H32N2O6
hit structure
1:264211 C22H24N2O5
hit structure
1:264212 C18H18N2O4
hit structure
1:264213 C19H18N4O4
hit structure
1:264214 C19H18N4O4
hit structure
1:264215 C22H26N2O4
hit structure
1:264216 C20H18N4O4
hit structure

1
  <<    <    >    >>  

entries in data collection: 332882