Home Browse Text SearchFunctional Group SearchStructure SearchPreferences Administration

selected data collection: 1

IRIS SDF: browse content


1
  <<    <    >    >>  

1:262942 C16H21NO6
hit structure
1:262943 C21H23NO5
hit structure
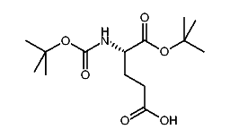
1:262944 C14H25NO4
hit structure
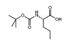
1:262945 C13H23NO4
hit structure
1:262946 C14H25NO6
hit structure
1:262947 C18H23N3O4
hit structure
1:262948 C15H21NO5
hit structure
1:262949 C17H23NO5
hit structure
1:262950 C14H17NO4
hit structure
1:262951 C26H32N2O6
hit structure
1:262952 C22H34N2O6
hit structure
1:262953 C10H19NO5S
hit structure
1:262954 C11H21NO4
hit structure
1:262955 C10H19NO4
hit structure
1:262956 C18H25ClN2O6
hit structure
1:262957 C14H18ClNO4
hit structure
1:262958 C14H18FNO4
hit structure
1:262959 C14H17Cl2NO4
hit structure
1:262960 C14H17F2NO4
hit structure
1:262961 C14H18ClNO4
hit structure
1:262962 C14H18INO4
hit structure
1:262963 C14H18BrNO4
hit structure
1:262964 C14H18ClNO4
hit structure
1:262965 C15H21NO4
hit structure
1:262966 C14H20N2O4
hit structure

1
  <<    <    >    >>  

entries in data collection: 398298