Home Browse Text SearchFunctional Group SearchStructure SearchPreferences Administration

selected data collection: 1

IRIS SDF: browse content


1
  <<    <    >    >>  

1:261835 C24H37N5O3S3
hit structure
1:261836 C20H29N5O5S
hit structure
1:261837 C23H33N5O7S
hit structure
1:261838 C22H34N4O5S
hit structure
1:261839 C9H17N3OS
hit structure
1:261840 C20H17Cl
hit structure
1:261841 C6H7ClIN
hit structure
1:261842 C8H9NO2
hit structure
1:261843 C22H20O2S
hit structure
1:261844 C16H15F5N2O3S
hit structure
1:261845 C17H24N6O5
hit structure
1:261846 C18H23N3O5
hit structure
1:261847 C27H40N6O7S
hit structure
1:261848 C36H39N5O7
hit structure
1:261849 C15H27N5O3S2
hit structure
1:261850 C9H6N4O3
hit structure
1:261851 C13H16N4O4
hit structure
1:261852 C6H7NO5
hit structure
1:261853 C10H11NO2S
hit structure
1:261854 C8H9NO2
hit structure
1:261855 C10H15NO4
hit structure
1:261856 C14H18N2O6
hit structure
1:261857 C12H19NO6
hit structure
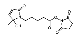
1:261858 C16H22N2O8
hit structure
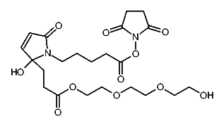
1:261859 C22H32N2O11
hit structure

1
  <<    <    >    >>  

entries in data collection: 282562