Home Browse Text SearchFunctional Group SearchStructure SearchPreferences Administration

selected data collection: 1

IRIS SDF: browse content


1
  <<    <    >    >>  

1:261735 C16H22N2O7S2
hit structure
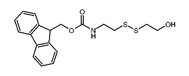
1:261736 C19H21NO3S2
hit structure
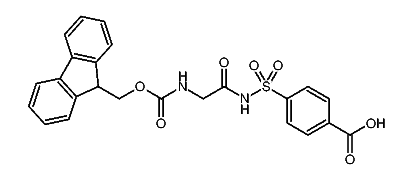
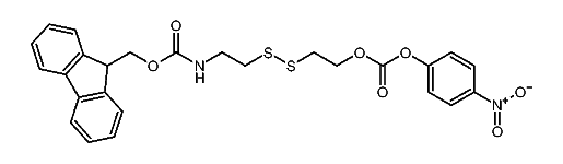
1:261737 C26H24N2O7S2
hit structure
1:261738 C19H14N2O5S2
hit structure
1:261739 C14H21NO3S2
hit structure
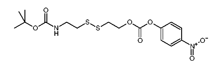
1:261740 C21H24N2O7S2
hit structure
1:261741 C24H23NO3S2
hit structure
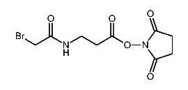
1:261742 C9H11BrN2O5
hit structure
1:261743 C8H14N2O2S
hit structure
1:261744 C24H20N2O7S
hit structure
1:261745 C16H32ClN3O5
hit structure
1:261746 C9H9N3O2
hit structure
1:261747 C10H19NO5
hit structure
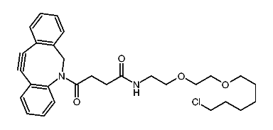
1:261748 C29H35ClN2O4
hit structure
1:261749 C10H22ClNO2
hit structure
1:261750 C14H30ClNO4
hit structure
1:261751 C10H20ClN3O2
hit structure
1:261752 C14H28ClN3O4
hit structure
1:261753 C16H26N2O2
hit structure
1:261754 C16H30N2O2
hit structure
1:261755 C18H34N2O2
hit structure
1:261756 C18H30N2O2
hit structure
1:261757 C29H31NO6
hit structure
1:261758 C30H29NO6
hit structure
1:261759 C28H29NO6
hit structure

1
  <<    <    >    >>  

entries in data collection: 282562