Home Browse Text SearchFunctional Group SearchStructure SearchPreferences Administration

selected data collection: 1

IRIS SDF: browse content


1
  <<    <    >    >>  

1:260485 C14H26N2O4
hit structure
1:260486 C16H30N2O4
hit structure
1:260487 C14H22N2O4
hit structure
1:260488 C14H22N2O4
hit structure
1:260489 C18H30N2O4
hit structure
1:260490 C7H13NO2
hit structure
1:260491 C6H13NO2
hit structure
1:260492 C7H15NO2
hit structure
1:260493 C8H17NO2
hit structure
1:260494 C9H19NO2
hit structure
1:260495 C7H15NO2
hit structure
1:260496 C6H13NO2
hit structure
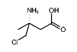
1:260497 C5H10ClNO2
hit structure
1:260498 C9H17NO2
hit structure
1:260499 C10H19NO2
hit structure
1:260500 C7H15NO2
hit structure
1:260501 C7H13NO2
hit structure
1:260502 C7H13NO3
hit structure
1:260503 C5H9NO2
hit structure
1:260504 C6H11NO2
hit structure
1:260505 C16H26N2O4
hit structure
1:260506 C16H22N2O4
hit structure
1:260507 C18H34N2O4
hit structure
1:260508 C18H30N2O4
hit structure
1:260509 C8H15NO2
hit structure

1
  <<    <    >    >>  

entries in data collection: 307722