Home Browse Text SearchFunctional Group SearchStructure SearchPreferences Administration

selected data collection: 1

IRIS SDF: browse content


1
  <<    <    >    >>  

1:260035 C40H37NO4S
hit structure
1:260036 C41H39NO4S
hit structure
1:260037 C24H28N2O6
hit structure
1:260038 C25H30N2O6
hit structure
1:260039 C21H23NO4S
hit structure
1:260040 C26H31NO6
hit structure
1:260041 C27H37NO5Si
hit structure
1:260042 C37H45N7O7S
hit structure
1:260043 C24H28N2O5
hit structure
1:260044 C22H24N4O4
hit structure
1:260045 C35H44N2O6
hit structure
1:260046 C25H28N2O5
hit structure
1:260047 C28H28N2O8S
hit structure
1:260048 C29H27N5O3S
hit structure
1:260049 C26H19N3O4S2
hit structure
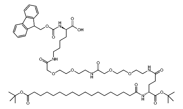
1:260050 C64H101N5O16
hit structure
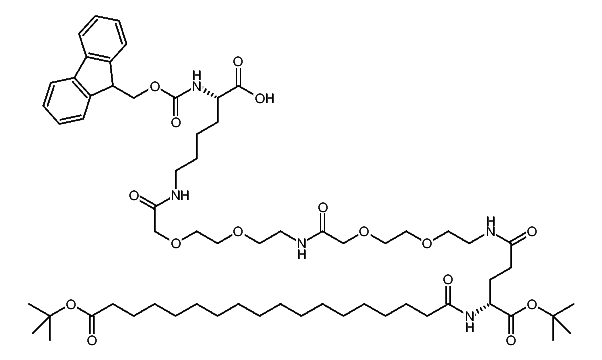
1:260051 C64H101N5O16
hit structure
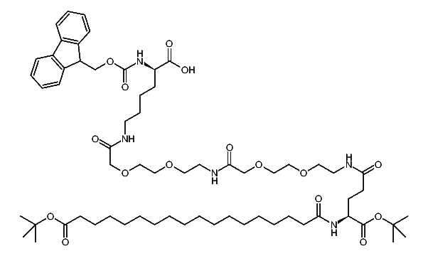
1:260052 C64H101N5O16
hit structure
1:260053 C22H21NO4S
hit structure
1:260054 C25H28N2O6
hit structure
1:260055 C24H24N2O6
hit structure
1:260056 C28H36N2O6
hit structure
1:260057 C39H34N2O5
hit structure
1:260058 C22H23NO4
hit structure
1:260059 C28H34N2O7
hit structure

1
  <<    <    >    >>  

entries in data collection: 317786