Home Browse Text SearchFunctional Group SearchStructure SearchPreferences Administration

selected data collection: 1

IRIS SDF: browse content


1
  <<    <    >    >>  

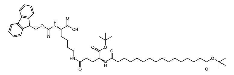
1:259835 C50H75N3O10
hit structure
1:259836 C29H29NO6
hit structure
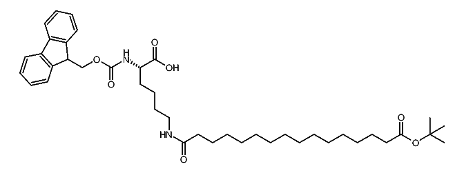
1:259837 C41H60N2O7
hit structure
1:259838 C27H30N2O5
hit structure
1:259839 C27H21N3O4
hit structure
1:259840 C27H21N3O4
hit structure
1:259841 C27H21N3O4
hit structure
1:259842 C30H34N2O10
hit structure
1:259843 C21H32O11
hit structure
1:259844 C30H48N8O10
hit structure
1:259845 C56H66F4N2O18
hit structure
1:259846 C27H35NO9
hit structure
1:259847 C34H35NO10S
hit structure
1:259848 C34H35NO10S
hit structure
1:259849 C40H43NO16S
hit structure
1:259850 C22H29NO9
hit structure
1:259851 C6H11NO3
hit structure
1:259852 C6H13NO2
hit structure
1:259853 C6H13NO2
hit structure
1:259854 C7H15NO2
hit structure
1:259855 C11H22N2O4
hit structure
1:259856 C6H14N2O2
hit structure
1:259857 C11H15NO2
hit structure
1:259858 C5H11NO2S
hit structure
1:259859 C7H15NO2
hit structure

1
  <<    <    >    >>  

entries in data collection: 322818