Home Browse Text SearchFunctional Group SearchStructure SearchPreferences Administration

selected data collection: 1

IRIS SDF: browse content


1
  <<    <    >    >>  

1:257353 C22H26N2O6
hit structure
1:257354 C26H29N3O8
hit structure
1:257355 C14H19NO4
hit structure
1:257356 C13H17NO4
hit structure
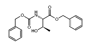
1:257357 C21H20N2O6
hit structure
1:257358 C16H15NO4
hit structure
1:257359 C20H18N2O6
hit structure
1:257360 C13H16N2O3
hit structure
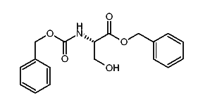
1:257361 C19H18N2O6
hit structure
1:257362 C17H18N2O6
hit structure
1:257363 C13H13NO5
hit structure
1:257364 C19H16N2O7
hit structure
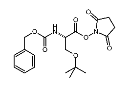
1:257365 C19H24N2O7
hit structure
1:257366 C18H19NO5
hit structure
1:257367 C19H21NO5
hit structure
1:257368 C19H21NO5
hit structure
1:257369 C23H21N3O6
hit structure
1:257370 C24H23NO5
hit structure
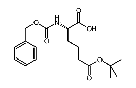
1:257371 C25H28N2O7
hit structure
1:257372 C17H17NO5
hit structure
1:257373 C19H20N2O6
hit structure
1:257374 C17H20N2O6
hit structure
1:257375 C11H13NO4
hit structure
1:257376 C15H16N2O6
hit structure
1:257377 C18H25NO6
hit structure

1
  <<    <    >    >>  

entries in data collection: 257402