Home Browse Text SearchFunctional Group SearchStructure SearchPreferences Administration

selected data collection: 1

IRIS SDF: browse content


1
  <<    <    >    >>  

1:257028 C59H49N3O6
hit structure
1:257029 C44H42N2O7
hit structure
1:257030 C58H48N2O5S
hit structure
1:257031 C42H39N3O6S
hit structure
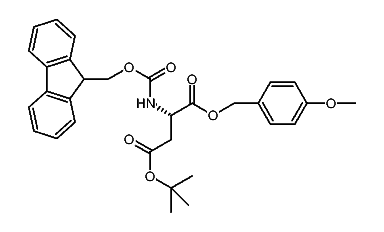
1:257032 C43H42N2O5S
hit structure
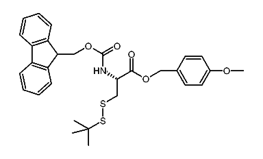
1:257033 C43H42N2O5S2
hit structure
1:257034 C60H51N3O6
hit structure
1:257035 C45H44N2O7
hit structure
1:257036 C38H32N2O5
hit structure
1:257037 C61H50N4O5
hit structure
1:257038 C52H47N3O7
hit structure
1:257039 C27H29NO5
hit structure
1:257040 C43H52N4O8S
hit structure
1:257041 C44H54N4O8S
hit structure
1:257042 C47H44N2O6
hit structure
1:257043 C32H37NO7
hit structure
1:257044 C46H43NO5S
hit structure
1:257045 C30H34N2O6S
hit structure
1:257046 C31H37NO5S
hit structure
1:257047 C31H37NO5S2
hit structure
1:257048 C48H46N2O6
hit structure
1:257049 C33H39NO7
hit structure
1:257050 C26H27NO5
hit structure
1:257051 C49H45N3O5
hit structure
1:257052 C30H35NO5
hit structure

1
  <<    <    >    >>  

entries in data collection: 282562