Home Browse Text SearchFunctional Group SearchStructure SearchPreferences Administration

selected data collection: 1

IRIS SDF: browse content


1
  <<    <    >    >>  

1:25681 C65H54N2O6
hit structure
1:25682 C66H56N2O6
hit structure
1:25683 C59H53N3O7
hit structure
1:25684 C57(13C)5H63N(15N)4O8S
hit structure
1:25685 C43(13C)6H46N(15N)O5
hit structure
1:25686 C48(13C)6H55N(15N)2O7
hit structure
1:25687 C43(13C)5H44N(15N)O5
hit structure
1:25688 C9H25NO
hit structure
1:25689 C25H30N2
hit structure
1:25690 C21H21NS
hit structure
1:25691 C61H66N4O10
hit structure
1:25692 C46H60N4O13
hit structure
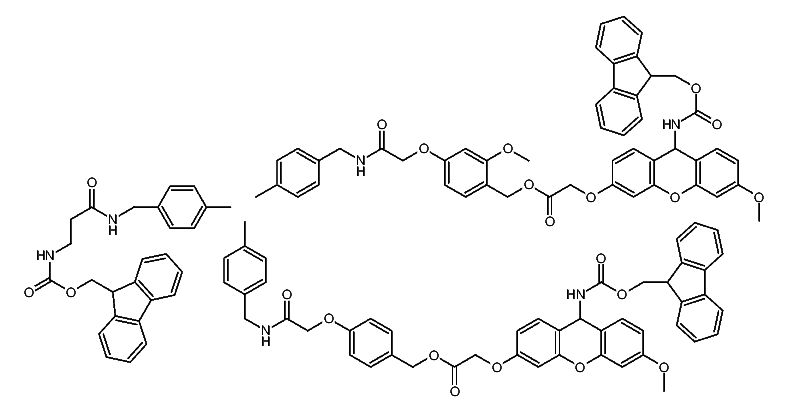
1:25693 C125H120N6O22
hit structure
1:25694 C110H114N6O25
hit structure
1:25695 C96H97N7O14
hit structure
1:25696 C34H33NO5
hit structure
1:25697 C33H31NO5
hit structure
1:25698 C36H37NO5
hit structure
1:25699 C33H31NO5
hit structure
1:25700 C34H33NO5
hit structure
1:25701 C41H46N2O7
hit structure
1:25702 C40H42N2O7
hit structure
1:25703 C46H52N4O7S
hit structure
1:25704 C51H48N2O7
hit structure
1:25705 C35H31NO5
hit structure

1
  <<    <    >    >>  

entries in data collection: 41026