Home Browse Text SearchFunctional Group SearchStructure SearchPreferences Administration

selected data collection: 1

IRIS SDF: browse content


1
  <<    <    >    >>  

1:256703 C16H22N2O7S2
hit structure
1:256704 C19H21NO3S2
hit structure
1:256705 C26H24N2O7S2
hit structure
1:256706 C19H14N2O5S2
hit structure
1:256707 C14H21NO3S2
hit structure
1:256708 C21H24N2O7S2
hit structure
1:256709 C24H23NO3S2
hit structure
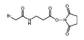
1:256710 C9H11BrN2O5
hit structure
1:256711 C8H14N2O2S
hit structure
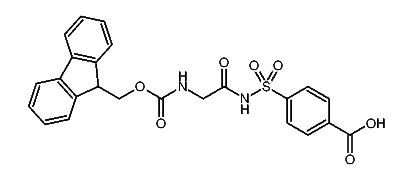
1:256712 C24H20N2O7S
hit structure
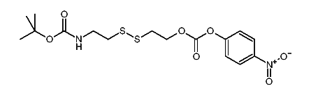
1:256713 C16H32ClN3O5
hit structure
1:256714 C9H9N3O2
hit structure
1:256715 C10H19NO5
hit structure
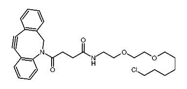
1:256716 C29H35ClN2O4
hit structure
1:256717 C10H22ClNO2
hit structure
1:256718 C14H30ClNO4
hit structure
1:256719 C10H20ClN3O2
hit structure
1:256720 C14H28ClN3O4
hit structure
1:256721 C16H26N2O2
hit structure
1:256722 C16H30N2O2
hit structure
1:256723 C18H34N2O2
hit structure
1:256724 C18H30N2O2
hit structure
1:256725 C29H31NO6
hit structure
1:256726 C30H29NO6
hit structure
1:256727 C28H29NO6
hit structure

1
  <<    <    >    >>  

entries in data collection: 292626