Home Browse Text SearchFunctional Group SearchStructure SearchPreferences Administration

selected data collection: 1

IRIS SDF: browse content


1
  <<    <    >    >>  

1:256478 C46H60N4O13
hit structure
1:256479 C125H120N6O22
hit structure
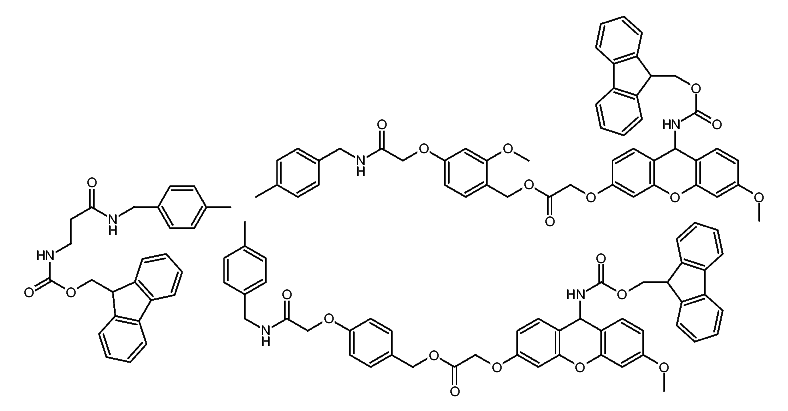
1:256480 C110H114N6O25
hit structure
1:256481 C96H97N7O14
hit structure
1:256482 C34H33NO5
hit structure
1:256483 C33H31NO5
hit structure
1:256484 C36H37NO5
hit structure
1:256485 C33H31NO5
hit structure
1:256486 C34H33NO5
hit structure
1:256487 C41H46N2O7
hit structure
1:256488 C40H42N2O7
hit structure
1:256489 C46H52N4O7S
hit structure
1:256490 C51H48N2O7
hit structure
1:256491 C35H31NO5
hit structure
1:256492 C53H46N2O6
hit structure
1:256493 C49H54N4O8S
hit structure
1:256494 C38H39NO7
hit structure
1:256495 C52H45NO5S
hit structure
1:256496 C39H41NO7
hit structure
1:256497 C16H14N2O6
hit structure
1:256498 C14H19N3O5S
hit structure
1:256499 C9H9BrO2
hit structure
1:256500 C13H22N2
hit structure
1:256501 C7H14N2
hit structure
1:256502 C21H19ClO2
hit structure

1
  <<    <    >    >>  

entries in data collection: 292626