Home Browse Text SearchFunctional Group SearchStructure SearchPreferences Administration

selected data collection: 1

IRIS SDF: browse content


1
  <<    <    >    >>  

1:252853 C19H28N2O6
hit structure
1:252854 C10H19NO4S
hit structure
1:252855 C14H18FNO4
hit structure
1:252856 C14H17Cl2NO4
hit structure
1:252857 C14H17F2NO4
hit structure
1:252858 C14H18FNO4
hit structure
1:252859 C14H18INO4
hit structure
1:252860 C14H18BrNO4
hit structure
1:252861 C14H18FNO4
hit structure
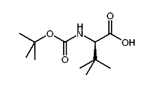
1:252862 C15H21NO4
hit structure
1:252863 C14H20N2O4
hit structure
1:252864 C29H30N2O6
hit structure
1:252865 C14H18N2O6
hit structure
1:252866 C14H14F5NO4
hit structure
1:252867 C10H15NO4
hit structure
1:252868 C16H23NO5
hit structure
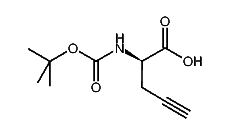
1:252869 C11H21NO4
hit structure
1:252870 C21H23Cl2NO5
hit structure
1:252871 C21H25NO5
hit structure
1:252872 C18H21NO4
hit structure
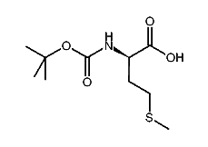
1:252873 C9H17NO4
hit structure
1:252874 C16H21NO4
hit structure
1:252875 C18H21NO4
hit structure
1:252876 C13H18N2O4
hit structure
1:252877 C21H34N4O7S
hit structure

1
  <<    <    >    >>  

entries in data collection: 403330