Home Browse Text SearchFunctional Group SearchStructure SearchPreferences Administration

selected data collection: 1

IRIS SDF: browse content


1
  <<    <    >    >>  

1:251921 C44H54N4O8S
hit structure
1:251922 C47H44N2O6
hit structure
1:251923 C32H37NO7
hit structure
1:251924 C46H43NO5S
hit structure
1:251925 C30H34N2O6S
hit structure
1:251926 C31H37NO5S
hit structure
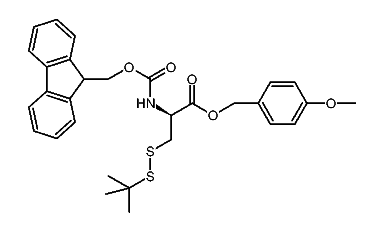
1:251927 C31H37NO5S2
hit structure
1:251928 C48H46N2O6
hit structure
1:251929 C33H39NO7
hit structure
1:251930 C49H45N3O5
hit structure
1:251931 C30H35NO5
hit structure
1:251932 C30H35NO5
hit structure
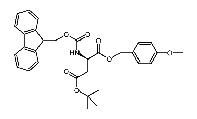
1:251933 C35H44N2O7
hit structure
1:251934 C29H33NO5S
hit structure
1:251935 C30H35NO5
hit structure
1:251936 C34H42N2O7
hit structure
1:251937 C33H33NO5
hit structure
1:251938 C29H31NO5
hit structure
1:251939 C31H37NO6
hit structure
1:251940 C32H39NO6
hit structure
1:251941 C37H41NO6
hit structure
1:251942 C29H33NO5
hit structure
1:251943 C40H42N2O7
hit structure
1:251944 C29H30N2O7
hit structure
1:251945 C45H53N5O10S
hit structure

1
  <<    <    >    >>  

entries in data collection: 282562